HARMONOGRAM WYJAZDÓW SPEDYCJI W OKRESIE ŚWIĄTECZNYM
Święta Bożego Narodzenia to wzmożony czas dostaw. Zaplanuj wysyłkę swojej przesyłki zgodnie z harmonogramem wybranej spedycji, aby ograniczyć ryzyko, że przesyłka nie dojedzie na czas.
Przygotowania do świąt Bożego Narodzenia to dla wielu branż okres najintensywniejszej pracy. Również branża kurierska ma przed sobą wiele wyzwań i przesyłek do dostarczenia. Sezon paczkowy zaczyna się już w październiku i trwa nawet do końca stycznia, kiedy to wiele osób decyduje się na zwroty nietrafionych prezentów. W tym okresie mogą pojawiać się opóźnienia w doręczeniach. Dlatego warto być na bieżąco z informacjami z firm kurierskich. Odpowiednie zaplanowanie wysyłki w czasie pozwoli ograniczyć ryzyko, że przesyłka dojdzie za późno.
Praca spedycji w święta 2024
Harmonogram pracy przewoźnika GLS w okresie świątecznym:
- 24 grudnia (wtorek)
Pracujemy w godzinach takich, jak w soboty. Realizujemy doręczenia i odbiory. - 25-26 grudnia (środa-czwartek)
Tutaj świętujemy – dni wolne od pracy dla filii i Infolinii GLS. - 31 grudnia (wtorek)
Pracujemy w godzinach takich, jak w soboty. Realizujemy doręczenia i odbiory. - 1 stycznia (środa)
Odpoczywamy – dzień wolny od pracy dla filii i Infolinii GLS. - 6 stycznia (poniedziałek)
Dzień wolny od pracy dla filii i Infolinii GLS – w święto wszyscy mamy wolne. - Przesyłki nadane…
… we wtorek 24 grudnia trafią do Odbiorców najwcześniej w poniedziałek 30 grudnia.
… we wtorek 31 grudnia dotrą na miejsce najwcześniej w piątek 3 stycznia.
… w piątek 3 stycznia zostaną doręczone najwcześniej we wtorek 7 stycznia.
Grafik wyjazdów międzynarodowych aut liniowych na przełomie roku 2024/2025 przewoźnika Hellmann:
- LITWA / ŁOTWA/ ESTONIA 16.12.2024
- Niemcy, Francja:
ostatnie auto 16.12.2024
pierwsze auto 03/07.01.2025
- Czechy, Słowacja, Węgry, Austria:
ostatnie auto 16.12.2024
pierwsze auto: 03.01.2025
- Włochy:
ostatnie auto 16.12.2024
Pierwszy auto: 02.01.2025
- Anglia, Belgia, Holandia
Ostatni samochód do UK wyjeżdża 17.12 z oddziału z Nowego Tomyśla.
Holandia, Belgia ostatni wyjazd 18.12.2024
Poniżej przedstawiamy harmonogram wyjazdów dla przewoźnika Kuehne & Nagel. Prosimy mieć na uwadze, iż ostatnie linie często są przeładowane, zachęcamy do planowania ostatnich zleceń wcześniej.
Zmiany w funkcjonowaniu operacji w Święta Bożego Narodzenia i Sylwestra przewoźnika SUUS:
- 24.12.2024 r., Wigilia Bożego Narodzenia
Nie pracują magazyny, magazyny logistyczne, terminale przeładunkowe. Dział Obsługi Klienta pełni dyżur
do godziny 15.00. Nie realizujemy dostaw i odbiorów przesyłek. - 31.12.2024 r., Sylwester
Magazyny, terminale przeładunkowe i Dział Obsługi Klienta pracują w ograniczonym zakresie. Dostawy
do sieci realizujemy bez ograniczeń. Pozostałe dostawy i odbiory przesyłek realizujemy w odległości 50
km od oddziałów. - 25-26.12.2024 r., 1.01.2025 r., 6. 01. 2025 r. Święta Bożego Narodzenia, Nowy Rok, Trzech Króli:
Obowiązuje zakaz poruszania pojazdów powyżej 12t. Nie pracują magazyny, terminale przeładunkowe i
Dział Obsługi Klienta, nie realizujemy dostaw i odbiorów przesyłek. - Grafik międzynarodowych wyjazdów znajduje się TUTAJ
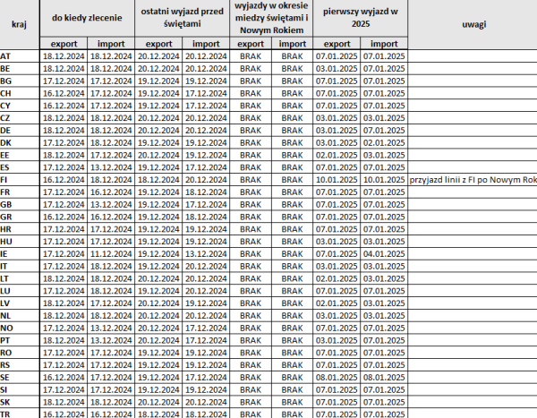
Grafik wyjazdów międzynarodowych aut liniowych na przełomie roku 2024/2025 przewoźnika DHL:

Harmonogram wyjazdów przewoźnika Raben w okresie świątecznym :
kraj Export
DE 18.12.2024 kolejny wyjazd 07.01.2025
FR 18.12.2024 – kolejny wyjazd 07.01.2025
LT/ LV/EE 18.12.2024 – kolejny wyjazd 07.01.2025
CZ 18.12.2024 – kolejny wyjazd 07.01.2025
HU 19.12.2024 – kolejny wyjazd 03.01.2025
SK 19.12.2024 – kolejny wyjazd 07.01.2025
IT 17.12.2024 – kolejny wyjazd 07.01.2025
ES 17.12.2024 – kolejny wyjazd 07.01.2025
kraj Import
DE 19.12.2024 kolejny wyjazd 08.01 2025
FR 17.12.2024 – kolejny wyjazd 07.01.2025
LT/ LV/EE 19.12.2024 – kolejny wyjazd 08.01.2025
CZ 19.12.2024 – kolejny wyjazd 08.01.2025
HU 19.12.2024 – kolejny wyjazd 08.01.2025
SK 19.12.2024 – kolejny wyjazd 08.01.2025
IT 18.12.2024 – kolejny wyjazd 08.01.2025
ES 17.12. 2024 – kolejny wyjazd 07.01.2025
Święta Bożego Narodzenia
– 23.12.2024 (poniedziałek) – odbiory i dostawy realizowane w pełnym zakresie
– 24.12.2024 (wtorek) – odbiory i dostawy realizowane do godziny 13:00
– 25.12.2024 (środa) – brak odbiorów i dostaw
– 26.12.2024 (czwartek) – brak odbiorów i dostaw
– 27.12.2024 (piątek) – odbiory i dostawy w pełnym zakresie
Sylwester/Nowy Rok
– 30.12.2024 (poniedziałek) odbiory i dostawy realizowane w pełnym zakresie
– 31.12.2024 (wtorek) – odbiory i dostawy realizowane do godziny 13:00
– 01.01.2025 (środa) – brak odbiorów i dostaw
– 02.01.2025 (czwartek) – odbiory i dostawy w pełnym zakresie
Trzech Króli
– 03.01.2025 (piątek) – odbiory i dostawy realizowane w pełnym zakresie
– 06.01.2025 (poniedziałek) – brak odbiorów i dostaw
– 07.01.2025 (wtorek) – odbiory i dostawy w pełnym zakresie
Harmonogram pracy przewoźnika DPD w okresie Świątecznym:
- zalecamy, aby przesyłki wysyłane w serwisie drogowym DPD Classic, które mają dotrzeć do odbiorców do 24 grudnia br., zostały nadane najpóźniej do 16 grudnia 2024 r.
- Od 20 grudnia 2024 do 06 stycznia 2025 r. transport palet międzynarodowych zostanie zawieszony. Spowodowane jest to okresem świątecznym, w którym główna sortownia podwykonawcy będzie zamknięta.
Harmonogram funkcjonowania sieci drobnicowej Rhenus Freight Logistics w okresie świątecznym:

Spedycja krajowa
Święta Bożego Narodzenia
– 23.12.2024 (poniedziałek) – odbiory i dostawy realizowane w pełnym zakresie
– 24.12.2024 (wtorek) – brak odbiorów i dostaw
– 25.12.2024 (środa) – brak odbiorów i dostaw
– 26.12.2024 (czwartek) – brak odbiorów i dostaw
– 27.12.2024 (piątek) – odbiory i dostawy w pełnym zakresie
Sylwester/Nowy Rok
– 30.12.2024 (poniedziałek) odbiory i dostawy realizowane w pełnym zakresie
– 31.12.2024 (wtorek) – brak odbiorów i dostaw
– 01.01.2025 (środa) – brak odbiorów i dostaw
– 02.01.2025 (czwartek) – odbiory i dostawy w pełnym zakresie
Trzech Króli
– 03.01.2025 (piątek) – odbiory i dostawy realizowane w pełnym zakresie
– 06.01.2025 (poniedziałek) – brak odbiorów i dostaw
– 07.01.2025 (wtorek) – odbiory i dostawy w pełnym zakresie
Spedycja międzynarodowa
Doręczenie przesyłek eksportowych przed świętami
Do 50. tygodnia oferujemy ciągły serwis. Przesyłki wysłane liniami w piątek, 13 grudnia, powinny zostać doręczone przed świętami w niemal całej Europie. Wysyłka towarów eksportowanych 51. tygodniu może skutkować dostawą przesyłek w styczniu 2025 roku.
Przesyłki nadane w kierunkach obsługiwanych w cyklu codziennym, powinny zostać doręczone do końca grudnia 2024 r., najpóźniej przy wyjeździe liniami we wtorek, 17 grudnia.
Doręczenie przesyłek importowych przed świętami
W przypadku przesyłek importowych, dostawa w Polsce przed świętami będzie możliwa przy wyjeździe linii z kraju partnera najpóźniej w piątek, 13 grudnia.
W przypadku rejestracji zleceń na transport eksportowy i importowy, bardzo proszę o uwzględnienie odpowiedniego czasu na podjęcie przesyłki zarówno w Polsce, jak i w sieci partnera GEODIS, aby przesyłka zdążyła wyjechać w wymienionych terminach.
W ostatnim tygodniu 2024 roku oraz w pierwszym tygodniu 2025 roku, serwis drobnicowy będzie mocno ograniczony, a terminy dostaw mogą być znacznie wydłużone.
Harmonogram linii LTL INT w okresie 12.12.2024 – 10.01.2025 | ||
| Eksport | Importy |
| ostatni 2024 / pierwszy 2025 | ostatni 2024 / pierwszy 2025 |
ANGLIA | 13.12 / 10.01 | 13.12 / 10.01 |
AUSTRIA | 19.12 / 7.01 | 20.12 / 8.01 |
BELGIA | 17.12 / 7.01 | 13.12 / 8.01 |
BUŁGARIA | 17.12 / 7.01 | 13.12 / 3.01 |
CZECHY | 20.12 / 7.01 | 20.12 / 7.01 |
DANIA | 17.12 / 7.01 | 19.12 / 10.01 |
FRANCJA | 13.12 / 7.01 | 17.12 / 10.01 |
GRECJA | 13.12 / 10.01 | 13.12 / 10.01 |
HISZPANIA PORTUGALIA | 13.12 / 7.01 | 17.12 / 10.01 |
HOLANDIA | 18.12 / 7.01 | 19.12 / 8.01 |
IRLANDIA | 18.12 / 7.01 | 20.12 / 12.01 |
LITWA ŁOTWA ESTONIA FINLANDIA | 20.12 / 7.01 | 19.12 / 8.01 |
NIEMCY – Berlin | 20.12 / 8.01 | 20.12 / 8.01 |
NIEMCY – Kolonia | 18.12 / 3.01 | 19.12 / 7.01 |
NIEMCY – Norymberga | 18.12 / 7.01 | 19.12 / 7.01 |
NORWEGIA | 18.12 / 8.01 | 20.12 / 10.01 |
RUMUNIA | 18.12 / 7.01 | 19.12 / 9.01 |
SŁOWACJA | 20.12 / 3.01 | 20.12 / 8.01 |
SZWAJCARIA | 13.12 / 10.01 | 17.12 / 10.01 |
SZWECJA | 17.12 / 7.01 | 18.12 / 8.01 |
WĘGRY i Bałkany | 18.12 / 3.01 | 18.12 / 8.01 |
WŁOCHY | 17.12 / 7.01 | 17.12 / 10.01 |
Poniżej przedstawiamy harmonogram obsługi przesyłek w tym czasie:
- 24 grudnia (Wigilia): Odbiory i dostawy przesyłek będą realizowane w ograniczonym zakresie – wyłącznie w głównych ośrodkach w kraju.
- 25–26 grudnia (Boże Narodzenie): Dni ustawowo wolne od pracy – brak realizacji odbiorów i dostaw.
- 27 grudnia (piątek): Ambro Express nie pracuje.
- 31 grudnia (Sylwester): Odbiory i dostawy przesyłek będą realizowane w ograniczonym zakresie – wyłącznie w głównych ośrodkach w kraju.
- 1 stycznia (Nowy Rok): Dzień ustawowo wolny od pracy – brak realizacji odbiorów i dostaw.
- PRZESYŁKI KRAJOWE
Przesyłki zlecone w systemie do 18 grudnia (środa) do godziny 12.00
zostaną doręczone do odbiorców przed Świętami Bożego Narodzenia. - PRZESYŁKI DO NIEMIEC, AUSTRII, CZECH
Przesyłki zlecone w systemie do 12 grudnia (czwartek) do godziny 12.00
zostaną doręczone do odbiorców przed Świętami Bożego Narodzenia.